Sitka Gold Confirms Significant Tungsten Mineralization Within The Rhosgobel Gold Deposit, Including 128.0 Metres Of 0.115% WO3, At Its RC Gold Project, Yukon
April 15, 2026 5:30 AM EDT | Source: Sitka Gold Corp.
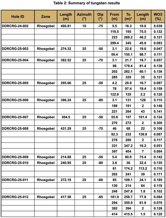
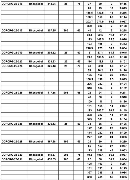
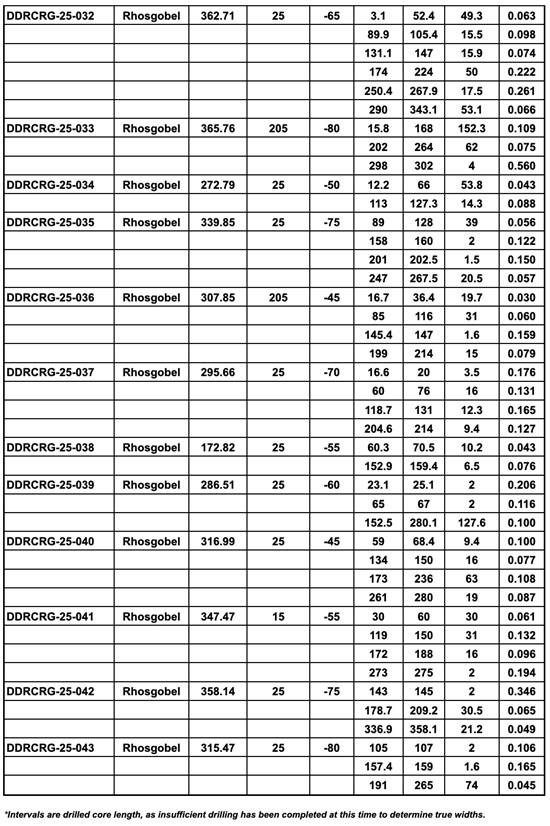
- Approximately 5,500 samples from 33 drill holes completed within the Rhosgobel deposit analyzed for tungsten (WO 3 ) Results confirm significant tungsten mineralization over a broad 850 m strike length Drill hole DDRCRG-25-006 returned 128.0 m of 0.115% WO 3 Drill hole DDRCRG-25-010 returned 113.2 m of 0.116% WO 3 Drill hole DDRCRG-25-033 returned 152.3 m of 0.109% WO 3 60,000 m diamond drill program underway with 4 drill rigs currently operating at RC Gold
Vancouver, British Columbia--(Newsfile Corp. - April 15, 2026) - The Board of Directors of Sitka Gold Corp. (TSXV: SIG) (FSE: 1RF) (OTCQX: SITKF) ("Sitka" or "Sitka Gold" or the "Company") is pleased to announce that it has received tungsten trioxide (WO3) XRF assays for 33 holes in drilled into the Rhosgobel intrusion in 2025. Results are pending for 2 remaining holes. Approximately 5500 samples from 33 diamond drill holes were selected for additional testing to provide an accurate tungsten analysis to determine the grade and distribution of tungsten mineralization within the Rhosgobel gold deposit after strong tungsten values were observed from initial multi-element analysis of drill core.
Results demonstrate the potential for tungsten to be a significant by-product at the Rhosgobel gold deposit. Initial metallurgical testwork is in progress to determine potential recovery of a tungsten concentrate. All of the holes that were submitted for additional assaying returned significant tungsten intersections and are located within the Maiden Mineral Resource Estimate (MRE) defined for the Rhosgobel Deposit consisting of a pit-constrained inferred mineral resource of 2.25 million ounces of gold (100.68 Mt @ 0.70 g/t Au) beginning at surface, using a cut-off grade of 0.30 g/t gold. (Simpson, R., 2026. RC Gold Project, NI 43-101 Technical Report, Dawson Mining District, Yukon Territory, March 31, 2026).

To view an enhanced version of this graphic, please visit:
"These latest results confirm the potential for tungsten to be a significant, high-value by-product at our newly discovered Rhosgobel gold deposit," said Cor Coe, Director and CEO of Sitka Gold. "The Rhosgobel deposit, which begins at surface and remains open in all directions, has rapidly evolved into one of the most compelling targets within our district-scale RC Gold Project, advancing from discovery to an initial inferred mineral resource estimate of 2.25 Moz of gold with just a few months worth of drilling. We now have evidence that tungsten could add significant value to this deposit as an economic by-product of potential future production. Tungsten is one of the few commodities where a new discovery immediately matters - global supply is highly constrained and tightly controlled, demand is accelerating across defense and advanced manufacturing sectors, and prices are being driven to new highs by structural shortages. In this context, even a modest tungsten discovery has the potential to materially enhance the value and strategic significance of the Rhosgobel deposit. With approximately 30,000 metres of drilling planned at Rhosgobel this year, which will effectively triple the total meterage drilled at Rhosgobel to date, we are looking forward to further defining the exciting potential of this unique deposit."
Tungsten Mineralization at Rhosgobel
Tungsten mineralization has been observed in all of the drill holes completed to date across the 3x2 km Rhosgobel Intrusion and occurs as coarse (up to 5 cm) scheelite crystals within the sub-metre scale quartz, and quartz tourmaline veins and as smaller (0.5-1 cm) crystals within the centimetre-scale sheeted quartz veins cutting the quartz monzonite intrusion at Rhosgobel. Analytical results demonstrate that Tungsten could be an economic by-product of potential future production at Rhosgobel.
An example of a large, intrusion-related tungsten deposit that is amenable to open-pit mining is Northcliff Resources Sisson Deposit located in New Brunswick - a pre-construction stage tungsten-molybdenum deposit that hosts 387 Mt of tungsten grading 0.067% WO3 in the Measured and Indicated category and 187 Mt of tungsten grading 0.050% WO3 in the Inferred category1. This project was recently added to Canada's Nation Building Projects List2 and has received funding from both the U.S. Government through the U.S. Defense Production Act3 and the Government of Canada through Natural Resources Canada (NRCan)4.
Figure 1. Plan Map of the Rhosgobel Intrusion showing gold assays and tungsten composites on the 2024 - 2025 diamond drilling. Drilling to date has been focused on the core of the target area which is supported by a large 1.5 km x 2.0 km gold-in-soil anomaly. Up to 30,000 metres of additional drilling is planned at Rhosgobel this year.
To view an enhanced version of this graphic, please visit:
Figure 2. Cross Section for drill holes DDRCRG-25-003 and 004 showing gold and tungsten assays.
To view an enhanced version of this graphic, please visit:
Figure 3. Cross Section for drill holes DDRCRG-25-005, 006 and 011 showing gold and tungsten assays.
To view an enhanced version of this graphic, please visit:
Figure 4. Cross Section for drill holes DDRCRG-25-009 and 010 showing gold and tungsten assays.
To view an enhanced version of this graphic, please visit:
Figure 5. Cross Section for drill holes DDRCRG-25-025 and 028 showing gold and tungsten assays.
To view an enhanced version of this graphic, please visit:
Figure 6. Cross Section for drill holes DDRCRG-25-032 and 035 showing gold and tungsten assays.
To view an enhanced version of this graphic, please visit:
Figure 7. Long Section through the Rhosgobel Deposit showing the grade shell, block model with gold grades > 1 g/t, and the tungsten assays in the 2025 drilling within current proposed pit limits. Up to 30,000 metres of drilling is planned at Rhosgobel this year.
To view an enhanced version of this graphic, please visit:
Figure 8: Example of scheelite (top picture), a common tungsten mineral, illuminated by ultra-violet light with visible gold and bismuthinite (red circles) in a quartz vein in drill core from the Rhosgobel intrusion along with an additional example of visible gold (bottom picture), both observed in DDRCRG-25-042.
To view an enhanced version of this graphic, please visit:

To view an enhanced version of this graphic, please visit:

To view an enhanced version of this graphic, please visit:

To view an enhanced version of this graphic, please visit:
About the RC Gold Project
Sitka's 100% owned, flagship RC Gold Project consists of a 447 square kilometre contiguous district-scale land package located in the heart of Yukon's Tombstone Gold Belt. The project is located approximately 100 kilometres east of Dawson City, which has a 5,000 foot paved runway, and is accessed via a secondary gravel road from the Klondike Highway which is usable year-round and is an approximate 2 hour drive from Dawson City. It is one of the largest consolidated land packages strategically positioned mid-way between the Eagle Gold Mine and the past producing Brewery Creek Gold Mine.
The RC Gold Project now has pit-constrained mineral resources that are contained in three zones: the Blackjack, Eiger, Rhosgobel gold deposits with a total Mineral Resource Estimate of 3.8 million ounces gold inferred and 1.3 million ounces gold indicated at RC Gold including 1,291,000 ounces of gold in 39,962,000 tonnes grading 1.01 g/t gold in an indicated category and 1,044,000 ounces of gold in 34,603,000 tonnes grading 0.94 g/t in an inferred category at Blackjack and 535,000 ounces of gold in 32,143,000 tonnes grading 0.52 g/t gold in an inferred category at Eiger, and an additional 2,250,000 ounces gold in 100,677,000 tonnes grading 0.70 g/t gold in the inferred category at Rhosgobel. The Blackjack resource estimate numbers are supported by the technical report for RC Gold, prepared in accordance with NI 43-101 standards, entitled "Clear Creek Property, RC Gold Project NI 43-101 Technical Report Dawson Mining District, Yukon Territory", prepared by Ronald G. Simpson, P. Geo., of GeoSim Services Inc. with an effective date of January 21, 2025. The Rhosgobel and Eiger resource estimates are supported by the technical report for RC Gold, prepared in accordance with NI 43-101 standards, entitled "RC Gold Project, NI 43-101 Technical Report, Dawson Mining District, Yukon Territory", prepared by Ronald G. Simpson, P. Geo., of GeoSim Services Inc. with an effective date of February 25, 2026.
All of these deposits begin at surface and are potentially open pit minable. Initial bottle roll metallurgical testing confirmed the non-refractory characteristics of the gold mineralization and returned gold extraction rates averaging around 85% for the Blackjack and Eiger deposits. Further metallurgical testwork in 2024 for Blackjack and Eiger returned recoveries ranging from 77.6 to 93% for gravity followed by cyanidation. Initial bottle roll testing for Rhosgobel has confirmed non-refractory characteristics of the gold mineralization with two composite samples returning gold recoveries of 89% and 96%.
For the purposes of the current resource model, it is assumed that a likely mill flowsheet would consist of a gravimetric, flotation, and cyanidation circuit.
Drilling continues to outline higher grade mineralization at all zones including hole DDRCCC-24-068 at Blackjack which intersected 678.1 metres of 1.04 g/t gold starting from surface (see news release dated October 21, 2024), and hole DDRCCC-25-075 which intersected 352.8 metres of 1.55 g/t gold including 108.9 metres of 3.27 g/t gold and 45.0 metres of 4.52 g/t gold (see news release dated April 22, 2025). Drilling in 2024/2025 has resulted in the discovery of a new higher grade zone at Rhosgobel including hole DDRCRG-25-010 at Rhosgobel which intersected 235.9 metres of 1.11 g/t gold, including 40.0 m of 2.01 g/t gold and 10.0 m of 5.29 g/t gold, from surface (see news release dated September 18, 2025).
Upcoming Events
Sitka Gold will be attending and/or presenting at the following events*:
- Canaccord Global Metals and Mining Conference: Henderson, NV: May 19 - 21, 2026 TAKESTOCK Investor Series Stampede Special, Calgary, AB: June 30, 2026 Yukon Mining Alliance - Property Tours and Conference, Dawson City, Yukon: July 12-15, 2026
*All events are subject to change.
About Sitka Gold Corp.
Sitka Gold Corp. is a well-funded mineral exploration company headquartered in Canada. The Company is managed by a team of experienced industry professionals and is focused on exploring for economically viable mineral deposits with its primary emphasis on gold, silver and copper mineral properties of merit. Sitka is currently advancing its 100% owned, 447 square kilometre flagship RC Gold Project located within the Tombstone Gold Belt in the Yukon Territory. The Company is also advancing the Alpha Gold Project in Nevada and currently has drill permits for its Burro Creek Gold and Silver Project in Arizona and the Coppermine River Project in Nunavut, all of which are 100% owned by Sitka.
The RC Gold Project now has pit-constrained mineral resources that are contained in three zones: the Blackjack, Eiger, Rhosgobel gold deposits with a total Mineral Resource Estimate of 3.8 million ounces gold inferred and 1.3 million ounces gold indicated at RC Gold including 1,291,000 ounces of gold in 39,962,000 tonnes grading 1.01 g/t gold in an indicated category and 1,044,000 ounces of gold in 34,603,000 tonnes grading 0.94 g/t in an inferred category at Blackjack and 535,000 ounces of gold in 32,143,000 tonnes grading 0.52 g/t gold in an inferred category at Eiger, and an additional 2,250,000 ounces gold in 100,677,000 tonnes grading 0.70 g/t gold in the inferred category at Rhosgobel (see Table 3 below for details).

To view an enhanced version of this graphic, please visit:
* Notes for Blackjack Resources:
Mineral resource estimate prepared by Ronald G. Simpson of GeoSim Services Inc. with an effective date of January 21, 2025. Mineral Resources are estimated consistent with CIM Definition Standards and reported in accordance with NI 43-101. Mineral resources are not mineral reserves and do not have demonstrated economic viability. Mineral resources are constrained by an optimized pit shell using the following assumptions: US$2000/oz Au price; a 45° pit slope; assumed metallurgical recovery of 85%; mining costs of US$2.00 per tonne; processing costs of US$10.00 per tonne; G&A of US$4.00/t. The base case cut-off of 0.3 g/t Au is believed to provide a reasonable margin over operating and sustaining costs for open-pit mining and processing Totals may not sum due to rounding.** Notes for Rhosgobel and Eiger Resources:
Mineral resource estimate prepared by Ronald G. Simpson of GeoSim Services Inc. with an effective date of February 25, 2026 Mineral Resources are estimated consistent with CIM Definition Standards and reported in accordance with NI 43-101. Mineral resources are not mineral reserves and do not have demonstrated economic viability. Mineral resources are constrained by an optimized pit shell using the following assumptions: US$3000/oz Au price; a 45° pit slope; assumed metallurgical recovery of 85%; mining costs of US$2.50 per tonne; processing costs of US$14.00 per tonne; G&A of US$4.00/t. The base case cut-off of 0.3 g/t Au is based on a gold price of US$2500/oz and believed to provide a reasonable margin over operating and sustaining costs for open-pit mining and processing Totals may not sum due to rounding.A 60,000 metre diamond drilling program planned for 2026 is currently underway at the Company's flagship RC Gold Project, located in Yukon Canada, where 4 diamond drill rigs are currently operating.
*For more detailed information on the Company's properties please visit our website at .
Quality Assurance/Quality Control
On receipt from the drill site, the HTW/NTW-sized drill core was systematically logged for geological attributes, photographed and sampled at Sitka's core logging facility. Sample lengths as small as 0.3 m were used to isolate features of interest, otherwise a default 2 m downhole sample length was used. Each sample is identified by a unique sample tag number which is placed in the bag containing the core to be assayed. Core was cut in half lengthwise along a predetermined line, with one-half (same half, consistently) collected for analysis and one-half stored as a record. Standard reference materials, blanks and duplicate samples were inserted by Sitka personnel at regular intervals into the sample stream. Bagged samples were placed in secure bins to ensure integrity during transport. They were delivered by Sitka personnel or a contract expeditor to ALS Laboratories' preparatory facility in Whitehorse, Yukon, with analyses completed in North Vancouver.
ALS is accredited to ISO 17025:2005 UKAS ref. 4028 for its laboratory analysis. Samples were crushed by ALS to over 70 per cent passing below two millimetres and split using a riffle splitter. One-thousand-gram splits were pulverized to over 85 per cent passing below 75 microns. Gold determinations are by fire assay with an inductively coupled plasma mass spectroscopy (ICP-AES) finish on 50 g subsamples of the prepared pulp (ALS code: Au-ICP-22). Any sample returning over 10 g/t gold was re-analyzed by fire assay with a gravimetric finish on a 50 g subsample (ALS code: Au-GRA21). In addition, a 51-element analysis was performed on a 0.5 g subsample of the prepared pulps by an aqua regia digestion followed by an inductively coupled plasma mass spectroscopy (ICP-MS) finish (ALS code: ME-MS41). Samples intervals were then selected for additional XRF analysis on a lithium borate fusion (ALS code: XRF-15b) for WO3.

To view an enhanced version of this graphic, please visit:
The scientific and technical content of this news release has been reviewed and approved by Gilles Dessureau, P.Geo., V.P. Exploration of the Company, and a Qualified Person (QP) as defined by National Instrument 43-101.
ON BEHALF OF THE BOARD
"Corwin ( Cor) Coe "
CEO and Director
For more information, please contact:
Sitka Gold Corp.
+1-604-979-0509
...
Neither TSX Venture Exchange nor its Regulation Services Provider (as that term is defined in policies of the TSX Venture Exchange) accepts responsibility for the adequacy or accuracy of this release.
Cautionary and Forward-Looking Statements
This release includes certain statements and information that may constitute forward-looking information within the meaning of applicable Canadian securities laws. Forward-looking statements relate to future events or future performance and reflect the expectations or beliefs of management of the Company regarding future events. Generally, forward-looking statements and information can be identified by the use of forward-looking terminology such as "intends" or "anticipates", or variations of such words and phrases or statements that certain actions, events or results "may", "could", "should", "would" or "occur". This information and these statements, referred to herein as "forward‐looking statements", are not historical facts, are made as of the date of this news release and include without limitation, statements regarding future plans, the advancement of the Company's projects and anticipated work programs, ongoing drilling activities and management's expectations and intentions.
Such forward-looking information and statements are based on numerous assumptions, including among others, that the Company will carry out its exploration plans as currently anticipated by management. Although the assumptions made by the Company in providing forward-looking information or making forward-looking statements are considered reasonable by management at the time, there can be no assurance that such assumptions will prove to be accurate.
These forward‐looking statements involve numerous risks and uncertainties and actual results might differ materially from results suggested in any forward-looking statements. These risks and uncertainties include, among other things, market uncertainty, risks related to exploration activities and the results of the Company's anticipated work programs.
Although management of the Company has attempted to identify important factors that could cause actual results to differ materially from those contained in forward-looking statements or forward-looking information, there may be other factors that cause results not to be as anticipated, estimated or intended. There can be no assurance that such statements will prove to be accurate, as actual results and future events could differ materially from those anticipated in such statements. Accordingly, readers should not place undue reliance on forward-looking statements and forward-looking information. Readers are cautioned that reliance on such information may not be appropriate for other purposes. The Company does not undertake to update any forward-looking statement, forward-looking information or financial outlook that are incorporated by reference herein, except in accordance with applicable securities laws. We seek safe harbor.
To view the source version of this press release, please visit
Source: Sitka Gold Corp.
Legal Disclaimer:
MENAFN provides the
information “as is” without warranty of any kind. We do not accept
any responsibility or liability for the accuracy, content, images,
videos, licenses, completeness, legality, or reliability of the information
contained in this article. If you have any complaints or copyright
issues related to this article, kindly contact the provider above.









Comments
No comment