Transatlantic Intercepts Up To 6.0 G/T Au And 13.71 G/T Ag Over 1.5 Meters At The Historic Miller Gold Mine, Montana
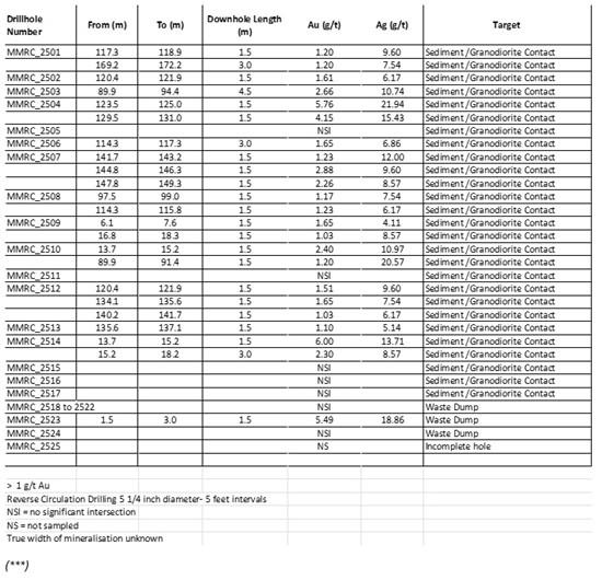
| Drillhole Number | From (m) | To (m) | Downhole Length (m) | Au (g/t) | Ag (g/t) |
| MMRC_2501 | 117.3 | 118.9 | 1.5 | 1.20 | 9.60 |
| 169.2 | 172.2 | 3.0 | 1.20 | 7.54 | |
| MMRC_2502 | 120.4 | 121.9 | 1.5 | 1.61 | 6.17 |
| MMRC_2503 | 89.9 | 94.4 | 4.5 | 2.66 | 10.74 |
| MMRC_2504 | 123.5 | 125.0 | 1.5 | 5.76 | 21.94 |
| 129.5 | 131.0 | 1.5 | 4.15 | 15.43 | |
| MMRC_2506 | 114.3 | 117.3 | 3.0 | 1.65 | 6.86 |
| MMRC_2507 | 141.7 | 143.2 | 1.5 | 1.23 | 12.00 |
| 144.8 | 146.3 | 1.5 | 2.88 | 9.60 | |
| 147.8 | 149.3 | 1.5 | 2.26 | 8.57 | |
| MMRC_2508 | 97.5 | 99.0 | 1.5 | 1.17 | 7.54 |
| 114.3 | 115.8 | 1.5 | 1.23 | 6.17 | |
| MMRC_2509 | 6.1 | 7.6 | 1.5 | 1.65 | 4.11 |
| 16.8 | 18.3 | 1.5 | 1.03 | 8.57 | |
| MMRC_2510 | 13.7 | 15.2 | 1.5 | 2.40 | 10.97 |
| 89.9 | 91.4 | 1.5 | 1.20 | 20.57 | |
| MMRC_2512 | 120.4 | 121.9 | 1.5 | 1.51 | 9.60 |
| 134.1 | 135.6 | 1.5 | 1.65 | 7.54 | |
| 140.2 | 141.7 | 1.5 | 1.03 | 6.17 | |
| MMRC_2513 | 135.6 | 137.1 | 1.5 | 1.10 | 5.14 |
| MMRC_2514 | 13.7 | 15.2 | 1.5 | 6.00 | 13.71 |
| 15.2 | 18.2 | 3.0 | 2.30 | 8.57 | |
| MMRC_2523 Waste dump | 1.5 | 3.0 | 1.5 | 5.49 | 18.86 |
The relationship of downhole width to true width of mineralisation is unknown
Holes MMRC2511, 2515 to 2522, 2524 and 2525 returned no significant intercepts.
The drilling of holes 2518 to 2524 were to test if any grade in the waste dump, though one hole returned 1.5 metres at 5.49 g/t Au and will be reviewed further in 2026 with other dumps on the property.
Tables of the full results can be found in Appendix A (assays) and B (outcrop)
Fig 1. Section on Hole 14 at the Miller Mine in Montana (see Appendix A also)
To view an enhanced version of this graphic, please visit:
Transatlantic drilled down dip of the existing levels and more than 100 metres along strike, to the north and south of the mine footprint on the principal vein/contact. Transatlantic completed 2070 metres (m) in 25 holes for the phase 1 campaign.
The hole depth range was from 10 to 160 metres. Phase 1 comprises of a total of 25 holes. Of the 25 holes completed, eight have been drilled under the existing workings in the upper target area (Figure 2), ten have explored extension to the north and south and seven shallow holes have tested an old mine waste dump. The main target and focus is the vein/s on the contact of the sediment and granodiorite.
The drilling identified and extended the granodiorite -metasediment contact 200 metres to the north with Hole MMRC2504, an intersection of 1.5 metres at 5.76 g/t Au, 21.94 g/t Ag and 150 metres to the south where MMRC2514 is situated with 1.5 metres at 6 g/t Au and 13.71 g/t Ag
With the known workings and the latest drilling, the contact has now been intersected over a strike of 500 metres.
The planned drilling (Lower Target Drilling) on the underground has been moved to 2026 as the permit expired for the 2025 drill season. An extension application has been submitted to the government bodies for the 2026 season.
Figure 2 - Miller Mine Overview and Drilling Target Areas
To view an enhanced version of this graphic, please visit:
Webinar: CEO Bernie Sostak will host an interactive webinar on Monday, January 26 at 2:00 pm PT discussing the company's drill results and future plans at Miller: Click HERE to register.
Golden Jubilee Drilling Postponed
Drilling at the Golden Jubilee project previously disclosed Sept 8, 2025 was postponed due to oncoming winter weather conditions. Drill contractors were unable to safely mobilize before the interim permit terminated December 1, 2025. An extension to the interim permit will be sort by the company for drilling in 2026.
Monitor Project - Anvil prospect - Muon Geophysical Trial
The Company is waiting on the outcome and results for the muon trial at the Anvil prospect.
About the Miller Mine and Claim Group:
The Miller Gold Mine is located in the Broadwater County in the State of Montana, USA. The mine is approximately 29 miles northeast of Townsend in Montana USA. The presence of gold mineralisation has been confirmed by previous sampling in areas of the mine where access is possible. Transatlantic is earning into the historic Miller Gold Property by means of a gold production royalty near Helena, Montana.
A historical Report (*) on the Miller Mine notes that historically, gold bearing ore was mined on a small scale by individual owners with sporadic production between 1901 and 1948. The mine is being re accessed by Transatlantic to review existing ground conditions and infrastructure for ongoing rehabilitation.
Located at the top end of the Confederate Gulch near what is now a ghost town in Diamond City, of which once had a population of + 10,000. Placer gold was abundant and rich in this Gulch.
- Miller had an average recovered mine grade of 7.94 Oz /ton Au ( 248 g/t Au ) and 4.65 Oz /ton Ag (145 g/t Ag ) (*)
Hole #1 was drilled 300 feet below the lowest recorded workings and recorded 14.7 Oz /ton Au ( 516 g/t Au )
The Miller Mine mineralisation occurs in quartz veins within and on the contact of a quartz granodiorite stockwork. The discrete veins dip between 30 and 80 degrees whilst the stockwork has multiple veinlets that range in width from a few centimetres to 2 metres. The contact zone of alteration has been noted as over 15 m wide (50 feet). Mining has been undertaken on both an open cut and underground methodology. The mine is at an elevation of 2000 m (6650 feet)
Highlights of previous sampling (see news release dated June 14, 2023)
Miller Mine -Lower Level
- Opened up Lower Winze Level immediately below the Lower Level.
First grab samples from Lower Level Winze include 27.6 g/t Au (**), visual gold has also been observed.
Extended Lease Agreement to first renewal term with option to purchase by production royalty.
About the Miller Mine and Claim Group:
Transatlantic has access to the Upper and Lower Level of the mine. The Miller Mine is situated amongst patented and unpatented claims at an elevation of 1920 m (6,400 feet) and accessible by roads 50 miles from Helena, Montana USA. Should mining occur at any time, an 8.5 % royalty on ounces is to be paid. During the term of the agreement, the Company may purchase the property for US $4,500,000, less the royalty payments made above, with a perpetual 1 % NSR to the vendor thereafter.
The gold and silver mineralisation generally occurs on the contacts of sediments and igneous intrusive with native gold and sulphides including pyrite often observed amongst the 4 known adits located on the property.
Qualified Person and NI 43-101 Disclosure
Aslam Awan PhD MAusIMM (CP Geo) is the Qualified Person pursuant to National Instrument 43-101 for having reviewed and approved the technical information contained in this news release. Mr. Awan is the Principal for AAA Geo Consultants and is Independent of the Company.
Rock Chip Samples may not reflect the average grade of mineralisation.
QA/QC and Core Sampling Protocols
(**) The rock chip samples are grabs from the winze level drive of 5 kg in weight. The samples were crushed in whole to plus 70 % passing 2 mm and then split and pulverised with analysis for gold and silver at the Christofferson Laboratory, Smelterville, Idaho USA. The Laboratory is an independent assay and umpire laboratory that follows industry techniques. The samples after being pulverised are analysed with a 15 to 30 grams fire assay charge and gravimetrically finished.
(***) The reverse circulation drilling samples had a standard inserted every 25 samples. The samples were crushed in whole to plus 70 % passing 2 mm and then split and pulverised with analysis for gold and silver at the Christofferson Laboratory, Smelterville, Idaho USA. The Laboratory is an independent assay and umpire laboratory that follows industry techniques. The samples after being pulverised are analysed with a 15 to 30 grams fire assay charge and gravimetrically finished.
(*) Hemsworth FJ: Report on the Miller Mine Helena Montana (July 2 1969)
(**) Company News Release dated June 14, 2023
About Transatlantic Mining Corp.
Transatlantic Mining (TSXV: TCO) is an emerging precious and base metal explorer. The Company has a focus on converting projects into mines within stable mining jurisdictions. The Company currently has property interests including an 80% Joint Venture position on the Monitor Copper-Gold project in Montana-Idaho (USA) and 100 % of the Golden Jubilee Gold Project with its associated mining rights. The Company has an extended lease, right to mine and purchase arrangement for the Miller Gold Mine in Montana to 100% ownership by way of payment royalty.
ON BEHALF OF THE BOARD OF DIRECTORS
" Bernie Sostak"
For more information contact
...
604-614-8469
Neither the TSX Venture Exchange nor its Regulation Services Provider (as that term is defined in the policies of the TSX Venture Exchange) accepts responsibility for the adequacy or accuracy of this release
Appendix A

To view an enhanced version of this graphic, please visit:
Figure 3: Highlighting surface claim area and 2025 drill program (Black Lines) with historical development (Blue)
To view an enhanced version of this graphic, please visit:
Appendix B

To view an enhanced version of this graphic, please visit:
To view the source version of this press release, please visit
Source: Transatlantic Mining Corp.
Legal Disclaimer:
MENAFN provides the
information “as is” without warranty of any kind. We do not accept
any responsibility or liability for the accuracy, content, images,
videos, licenses, completeness, legality, or reliability of the information
contained in this article. If you have any complaints or copyright
issues related to this article, kindly contact the provider above.





Comments
No comment